WP1 – Contrail Ice Nucleation in the Low Soot Regime
Work Packages
This work will close key knowledge gaps on how cleaner engines and Sustainable Aviation Fuels (SAF) influence contrail formation. By identifying how volatile particles (vPM) like oil droplets and sulfates trigger contrails in the absence of soot, WP1 will support the development of future low-emission engine technologies — including hydrogen propulsion — with lower climate impact.
Objective: Understand how contrails form when engines emit very little soot, especially with new engine types and cleaner fuels.
How:
- Measure particles near airports and in flight.
- Run lab experiments to see which particles (like oil droplets or sulfur compounds) can trigger ice formation.
- Analyze past flight data.
- Build a new computer model to simulate contrails forming without soot.
Why it matters: To anticipate the impact of future aircraft engines and sustainable fuels on contrails — and how to avoid them.
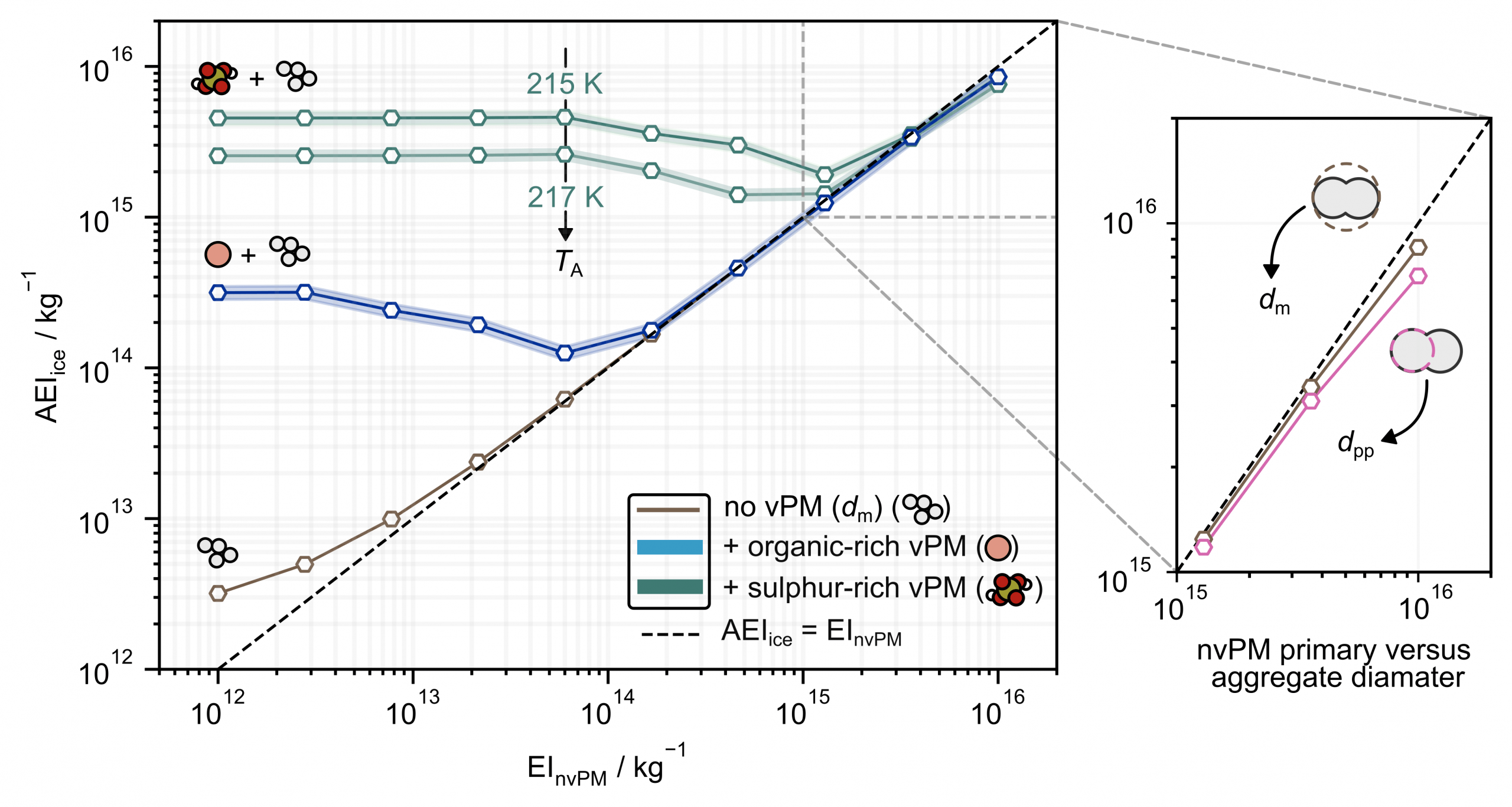
An updated microphysical model for particle activation in contrails: the role of volatile plume particles.
Credits: Ponsonby, J., Teoh, R., Kärcher, B., and Stettler, M.: An updated microphysical model for particle activation in contrails: the role of volatile plume particles, EGUsphere [preprint], https://doi.org/10.5194/egusphere-2025-1717, 2025.
Key Technical activities:
- Ground-based measurements near airports to characterize the physicochemical properties of vPM and nvPM, including particle size distributions, chemical composition, and volatility (Task 1.1).
- Laboratory experiments using surrogate aircraft aerosol sources and the Portable Ice Nucleation Experiment (PINE) chamber to test droplet activation and ice-nucleating efficiency of individual and combined aerosols under contrail-forming conditions (Task 1.2).
- Evaluation of in-flight emission datasets from recent campaigns (e.g. Boeing Eco-Demonstrator and ECLIF) involving lean-burn and RQL engines with fossil and sustainable aviation fuels (SAF) (Task 1.3).
- Development of a new nucleation model to simulate contrail ice formation on vPM in the low-soot regime, integrated into the CoCiP/Pycontrails framework and validated against measurements (Task 1.4).
Partners involved: Imperial College London (IMPERIAL, Lead), Goethe University Frankfurt (GUF), University of Leeds (ULEEDS), Max Planck Institute for Chemistry (MPI), DLR (German Aerospace Center)
